おかげさまで開設25周年JCAM.CO.IN 創業祭

JCAM.CO.IN

詳しくはこちら
マイストア マイストア 変更
  • 即日配送
  • 広告
  • 取置可能
  • 店頭受取

HOT ! 自由区100%ウールフレアスカート

※JCAM.CO.IN 限定モデル
YouTuberの皆様に商品の使い心地などをご紹介いただいております!
紹介動画はこちら

ネット販売
価格(税込)

5,900

  • コメリカード番号登録、コメリカードでお支払いで
    コメリポイント : 62ポイント獲得

コメリポイントについて

購入個数を減らす
購入個数を増やす

お店で受け取る お店で受け取る
(送料無料)

受け取り店舗:

お店を選ぶ

近くの店舗を確認する

納期目安:

13時までに注文→17時までにご用意

17時までに注文→翌朝までにご用意

受け取り方法・送料について

カートに入れる

配送する 配送する

納期目安:

09月20日頃のお届け予定です。

決済方法が、クレジット、代金引換の場合に限ります。その他の決済方法の場合はこちらをご確認ください。

※土・日・祝日の注文の場合や在庫状況によって、商品のお届けにお時間をいただく場合がございます。

即日出荷条件について

受け取り方法・送料について

カートに入れる

欲しいものリストに追加

欲しいものリストに追加されました

自由区100%ウールフレアスカートの詳細情報

カラー···グレー素材···ウール季節感···秋、冬シルエット···フレア柄・デザイン···無地自由区のスカートです。定価25,000円ほどでした。ほぼ着用していないため、生地がとても綺麗な状態です。
  • 0806_e北斗10_縦.jpg?2024
  • ①777リーグメインポスター.webp
  • 台データ見やすくHPh.png?2023
  • FREEWi-Fi.png?2023
  • B. Consider the following AES S-box used in 0 1 2 3 4 5 6 7 8 9
  • Bestellnummer, Modell, Typ zB E46, ccm, kW / PS
  • Solved Consider the following set of 50 cards: AO A1 A2 A3 | Chegg.com
  • luit - Locale and ISO 2022 support for Unicode terminals
  • Solved Consider this memory map. Read the row first and then
  • order_AE240731-0031_第10回全
  • BMW CAS3 CAS3+ TERMINAL 50 REPAIR A0C1 FIX SERVICE E90 E87 E60 E92
  • たべぶる (@tabeble) / X
  • product_dt2024072600018_第10回
  • screenshot_01.jpg
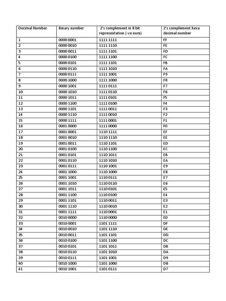
  • Decimal Number | PDF | Complement System | Chess
  • 0806_汎ペンキ機種_縦.png?2024
  • ジャグ推し機種.png?2024
  • For the AES S-Box below: 0 63 CA B7 04 09 53 DO 51 CD 60 EO E7 BA

同じカテゴリの 商品を探す

ベストセラーランキングです

このカテゴリをもっと見る

この商品を見た人はこんな商品も見ています

近くの売り場の商品

このカテゴリをもっと見る

カスタマーレビュー

オススメ度  5点

現在、2376件のレビューが投稿されています。